
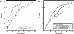
Clinical usefulness of procalcitonin/albumin and blood urea nitrogen/albumin ratios for the early detection of bacteremia
Original article Sang Shin Pyo1,2*, Dae Wui Yoon1,2*, Hyunjung Kim3, Hiun Suk Chae4, Hae Kyung Lee3 1Department of Biomedical Laboratory Science, 2Sleep Medicine Institute, Jungwon University, Goesangun, Chungbuk, Departments of 3Laboratory Medicine, 4Internal Medicine, Uijeongbu St. Mary’s Hospital, College of Medicine, The Catholic University of Korea, Uijeongbu, Korea *These authors contributed equally to this work. Corresponding to Hae Kyung Lee, E-mail: hkl@catholic.ac.kr Ann Clin Microbiol 2023;26(4):103-115. https://doi.org/10.5145/ACM.2023.26.4.103Received on 30 August 2023, Revised on 21 September 2023, Accepted on 26 October 2023, Published on 20 December 2023.Copyright © Korean Society of Clinical Microbiology.This is an Open Access article distributed under the terms of the Creative Commons Attribution Non-Commercial License (https://creativecommons.org/licenses/by-nc/4.0/) which permits unrestricted non-commercial use, distribution, and reproduction in any medium, provided the original work is properly cited. Abstract Background: Early prediction of bacteremia is important because sepsis may develop if bacteremia is not treated in time. We aimed to determine




